1-4-2.并联式开关电源输出电压滤波电路
上面已经知道,当并联式开关电源不带输出电压滤波电路时,输出脉冲电压的幅度将非常高。
但在应用中,大多数并联式开关电源输出电压还是经过整流滤波后的直流电压,因此,一般开关电源的输出电路都带有整流滤波电路。
图1-12是带有整流滤波功能的并联式开关电源工作原理图。
图1-12中,Ui是开关电源的工作电压,L是储能电感,eL为电流iL在储能电感两端产生的反电动势,K是控制开关,R是负载。
而图1-13、图1-14、图1-15分别是并联式开关电源控制开关K工作于占空比为0.5、0.5时,图1-12电路中各点的电压、电流波形。
图图1-13、图1-14、图1-15中Ui是开关电源的输入电压,uo是控制开关K两端的输出电压,uc是滤波电容两端的输出电压,Up是开关电源输出的峰值电压,Uo是开关电源输出电压(平均值),Ua是开关电源输出的平均电压,iL是流过储能电感L的电流,iLm是流过储能电感L电流的最大值,Io是流过负载R的电流(平均值)。

当控制开关K接通时,输入电源Ui开始对储能电感L加电,流过储能电感L的电流iL开始增加,同时电流在储能电感中也要产生反电动势eL;当控制开关K由接通转为关断的时候,储能电感也会产生反电动势eL。
eL反电动势的方向与开关K关断前的方向相反,但与电流的方向相同,因此,在控制开关K两端的输出电压uo等于输入电压Ui与反电动势eL之和。
因此,在Ton期间:




(1-44)式中iL为流过储能电感L电流的瞬时值,t为时间变量;i(0)为的初始电流,即:控制开关K接通瞬间之前,流过储能电感L中的电流。
当开关电源工作于临界连续电流状态时,i(0)=,由此可以求得流过储能电感L的最大电流为:
iLm=Ui*Ton/L——K关断前瞬间(1-45)
在开关关断Toff期间,控制开关K关断,储能电感L把电流iLm转化成反电动势,与输入电压Ui串联迭加,通过整流二极管D继续向负载R提供能量,在此期间储能电感L两端的电压eL为:eL=-Ldi/dt=Uo-Ui——K关断期间(1-46)
式中负号表示反电动势eL的极性与(1-43)式相反,即:K接通与关断时电感的反电动势的极性正好相反。
对(1-46)式进行积分得:
式中i(Ton+)为控制开关K从Ton转换到Toff的瞬间之前流过电感的电流,i(Ton+)也可以写为i(Toff-),即:控制开关K关断或接通瞬间,之前和之后流过电感L的电流相等。
实际上(1-47)式中的i(Ton+)就是(1-45)式中的iLm,因此,(1-9)式可以改写为:

当开关电源工作于临界连续电流状态时,流过储能电感的初始电流i(0)等于0(参看图1-13),即:(1-49)式中流过储能电感电流的最小值iLX等于0。
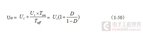
因此,由(1-45)和(1-49)式,可求得反转式串联开关电源输出电压Uo为:

一般,并联式开关电源的输出电压Uo都是取自输出电压uo脉冲电压的幅值Up,经整流滤波以后储能滤波电容C两端的输出电压基本就是Up,即:
Up=Uo——并联式开关电源(1-51)
这里特别指出:(1-50)和(1-51)式的结果,虽然是以开关电源工作于临界连续电流状态的条件求得,但对于开关电源工作于连续电流状态或断流状态同样成立,因为,输出电压Uo只取其峰值电压Up,而不是取其平均值。
另外,并联式开关电源输出电压uo的平均值Ua与输入电压的大小相等,即:
Ua=Ui——并联式开关电源(1-52)
由于其输出电压uo的幅值等于输入电压Ui与储能电感L产生反电动势eL之和,因此,并联式开关电源一般都是取其输出电压uo的幅值Up作为输出(电压幅值的提取方法留待后面详细讨论)。
所以,并联式开关电源属于升压型开关电源。
虽然并联式开关电源输出电压的幅度比输入电压可以提高,但其输出电压的平均值Ua与控制开关K的占空比D的大小无关,即:并联式开关电源输出电压的平均值Ua永远等于输入电压Ui。
此帖出自电源技术论坛
开关电源,连载
大功率电感厂家 |大电流电感工厂